一、提問
在用渦街流量計測量氣體和蒸汽流量時,一般都要測量流體壓力,大多數都要求測壓點取在渦街流量傳感器的下游,但也有小部分要求取在上游,究竟應如何取?
二、解答
(1)應取在下游
從渦街流量計的工作原理可知,旋渦剝離頻率與旋渦發生體下游的平均流速成正比,如圖2.53所示。即渦街流量計輸出頻率代表的是旋渦發生體處的體積流量。

在被測流體為氣體時,要將工況條件下的體積流量換算到標準狀態體積流量。在被測流體為蒸汽時,要求取該體積流量所對應的流體密度,都要知道工況條件下的流體壓力。由于氣體和蒸汽的可壓縮性,流體在管道內流動時,在不同的斷面上,流體的靜壓也不同,于是就產生一個究竟測壓口取在何處合理的問題。
由于該體積流量是旋渦發生體下游的體積流量,所以測壓口也應開在此處的管壁上。但是渦街流量計制造廠中沒有一家在渦街流量傳感器的表體上開有測壓口,所以只能由用戶在流量計下游管道上開測壓口。從原理分析,這樣處理測得的壓力要比旋渦生成的地方壓力高,但對0.75%~1.5%精確度等級的流量計來說,這樣簡化帶來的誤差可以忽略。
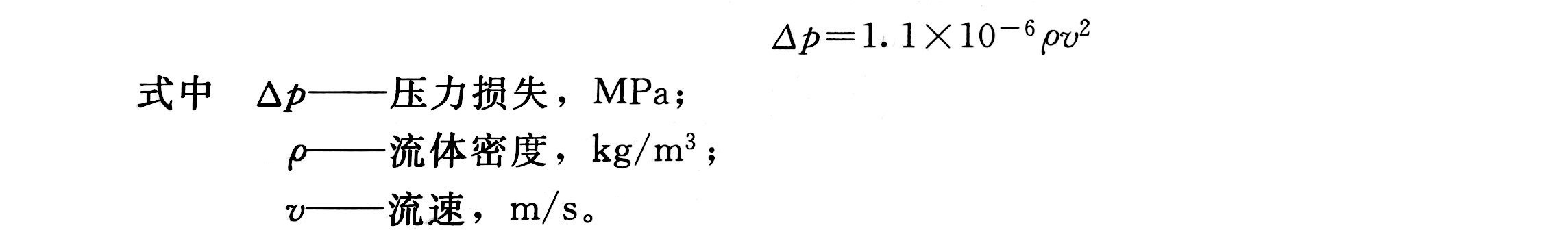
(2)上游測壓帶來多大誤差
如果將測壓口開在渦街流量計的上游,測得的壓力要比下游高得多。因為流體流過旋渦發生體時,在發生體前后要產生壓降。我公司對生產的渦街流量計的壓降提出了一個公式,如下列公式所示。

從該式可見,當流速較低時,Δp并不大,但隨著流速的增高,Δp就快速增大,成為不可忽略的變量。
例如對于0.8MPa(流量計下游值)飽和蒸汽,p約為5.15kg/m3,在流速為 60m/s時,Δp=19.5kPa,則上游壓力就為0.8195MPa。對應的密度p=5.26kg/m3,于是質量流量計算結果偏高 2%,這是個不小的數字。
(3)來自其他方面的意見
在英國國家標準BS7405-1991《封閉管道中流體流量測量用流量表應用和選擇指南》中有一幅圖如圖2.54所示。這個建議與渦街流量計工作原理是吻合的。另外,圖2.55是典型的旋進旋渦式流量計結構圖。從圖中可見,在旋渦檢測元件的正下方開有一個取壓孔,從原理分析,這樣設計是合理的。如果沒有這個孔,要將測壓孔開到流量計下游的管道上,那就差得更多了,因為在檢測元件下游有一個消旋器,流速較高時,消旋器上的壓降也不容忽視。


